5 3 The Fundamental Theorem of Calculus NOTES

  • Slides: 14
Download presentation
5. 3 The Fundamental Theorem of Calculus NOTES: The Fundamental Theorem of Calculus: If

5. 3 The Fundamental Theorem of Calculus NOTES: The Fundamental Theorem of Calculus: If f is continuous on [a, b] and F is an antiderivative of f on [a, b], then F(b) – F(a) 1. ) Act like the integral is an indefinite integral (antiderivative) and find the answer like you usually would, leave out the + C as it is no longer needed. 2. ) (Evaluate at the top number) – (Evaluate at the bottom number)

EX #1: Evaluate.

EX #1: Evaluate.

EX #1: Evaluate.

EX #1: Evaluate.

EX #1: Evaluate. No need for absolute value bars.

EX #1: Evaluate. No need for absolute value bars.

Differentiation and Integration as Inverse Processes: We end this section by bringing together the

Differentiation and Integration as Inverse Processes: We end this section by bringing together the two parts of the Fundamental Theorem. We noted that Part 1 can be rewritten as which says that if f is integrated and then the result is differentiated, we arrive back at the original function f. Since F (x) = f (x), Part 2 can be rewritten as This version says that if we take a function F, first differentiate it, and then integrate the result, we arrive back at the original function F, but in the form F(b) – F(a). Taken together, the two parts of the Fundamental Theorem of Calculus say that differentiation and integration are inverse processes. Each undoes what the other does.

EX #3: Evaluate.

EX #3: Evaluate.

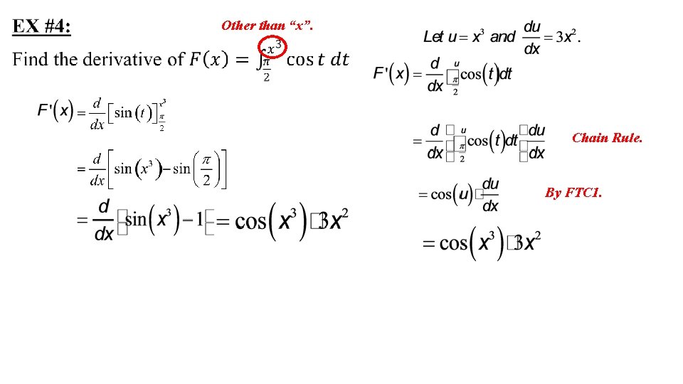
Other than “x”. Chain Rule. By FTC 1.

Other than “x”. Chain Rule. By FTC 1.

Chain Rule and FTC 1.

Chain Rule and FTC 1.

EX #7: (a) g(0) = g(2) = g(4) = g(6) = g(8) = (b)

EX #7: (a) g(0) = g(2) = g(4) = g(6) = g(8) = (b) g’(x) = f(t) g’(x) > 0, increase (0, 4) g’(x) < 0, decrease (4, 8) (c) Relative max at x = 4, (4, 9)