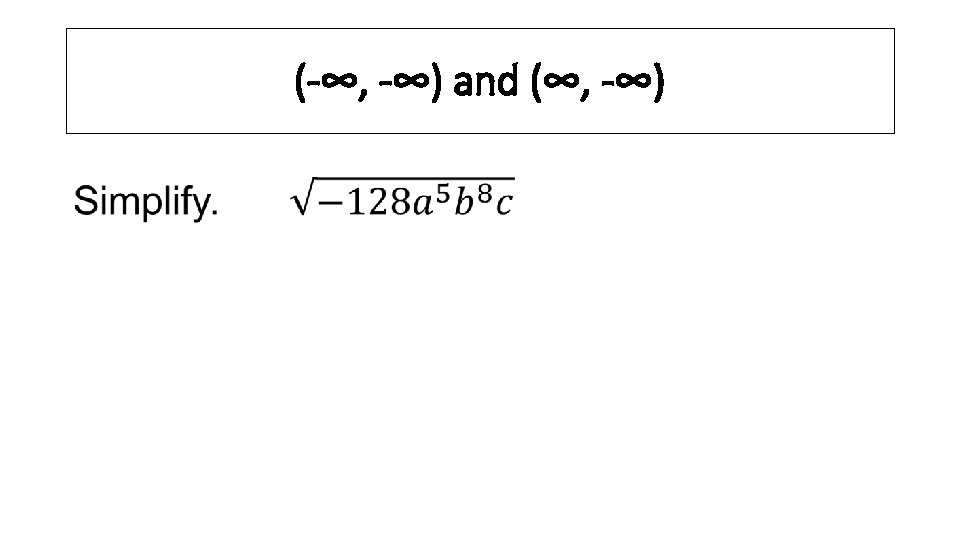
49 The vertices of a triangle are A4


























- Slides: 26
49 The vertices of a triangle are A(4, 6), B(7, -3), and C(0, 2). Name the vertices of the image reflected across the y-axis.
A’(-4, 6), B’(-7, -3), C’(0, 2) The vertices of a triangle are A(6, -3), B(4, 8), and C(-2, 1). The triangle is rotated 270º counter clockwise about the origin and then dilated by a scale factor of 3. What are the coordinates of the resulting image?
A”(-9, -18), B”(24, -12), C”(3, 6) The vertices of a triangle are A(-4, -5), B(-6, 3), and C(-2, -4). It is translated 4 units up and 3 units to the left. What are the coordinates of the resulting image?
8
2 and 9
A juggler tosses a ball into the air. The balls height, h, and time t seconds can be represented by the equation h(t) = -16 t 2 + 40 t + 4. Find the maximum height of the ball.
29 The dimensions of a square altered so that 8 inches is added to one side while 3 inches is subtracted from the other. The area of the resulting rectangle is 126 in 2. What was the original side length of the square?
10
Write an equation that would represent a square root function that has been shifted 4 unit down and 8 units to the right from the parent function.
Find the value of x.
Determine the triangles below are congruent. If yes, state which method.
ASA Determine the triangles below are congruent. If yes, state which method.
Not Congruent Determine the triangles below are congruent. If yes, state which method.
SAS Fill in the correct reason for the proof:
Definition of a bisector Fill in the correct reason for the proof:
Reflexive Property Fill in the correct reason for the proof:
HL Sarah sights the top of the Statue of Liberty at an angle of elevation of 61°. If Sarah is 5. 5 feet tall and is standing 166 feet from the base of the statue, find its height.
305 A spectator in the stands spots the team mascot on the field at an angle of depression of 46°. If the spectator is sitting 35 feet above the ground, what is the horizontal distance between the spectator and the mascot?
33. 8 A rope from the top of a mast on a sailboat is attached to a point 19 feet from the mast. If the rope is 28 feet long, how tall is the mast? Round to the nearest tenth of a foot.
20. 6 Use the table to determine the probability of the given scenario. Round your answer to the nearest percent. P(less than 6 hours|failed)
46 Use the table to determine the probability of the given scenario. Round your answer to the nearest percent. P(less than 6 hours and failed)
8 From a standard deck of cards, two cards are drawn with replacement. Find the probability that both are kings or numbered cards. Round your answer to the nearest percent.