4 Dirichlet Series Dirichlet series E g Riemann

























- Slides: 25
4. Dirichlet Series Dirichlet series : E. g. , (Riemann) Zeta function
Example 12. 4. 1. Example 11. 9. 1: Evaluation of (2)
Using B 2 n § 12. 2 : s Mathematica
5. Infinite Products Infinite product : Theorem : If 0 |an| < 1, then if Proof : converges / diverges. Comparison test S & ln | P | have same convergency. QED.
Example 12. 5. 1. Convergence of Infinite Products for sin z & cos z § 11. 7 : product converges finite z.
Example 12. 5. 2. An Interesting Product
6. Asymptotic Series We’ll consider only two types of integrals that lead to asymptotic series
Exponential Integral Exponential integral Set see § 13. 6 Alternatively, let
Ratio test : Set series diverges x.
x 0 Rn alternates in sign so does sn
Rn alternates in sign so does sn Mathematica See § 13. 6
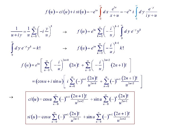
Cosine & Sine Integrals Sine integral Cosine integral Mathematica C
Definition of Asymptotic Series Let Partial sum Poincare : If but then is the asymptotic expansion of f (x). but Asymptotic expansion is unique if exists.
7. Method of Steepest Descent Method of steepest descent / Saddle point method is used to evaluate asymptotically integrals of the form for t >> 1 where C can be deformed to pass through a saddle point z 0 of the analytic function f so that |z| Re f is most negative along C. = angle of C at z 0.
Saddle Point Method Let z 0 be a saddle point of f (z) ( true for any C through z 0 ) most negative is the steepest decent away from z 0. On C near z 0 :
Preferred path : r Re f is most negative along r (steepest descent ). whereupon | r Im f | = 0 , i. e. , Im f = const. Choice compensates sense of C.
Example 12. 7. 1. Asymptotic Form of the Gamma Function Sterling’s formula
Example 12. 7. 2. Saddle Point Method Avoids Oscillations
8. Dispersion Relations Let f (z) be analytic in upper half z-plane ( for Im z 0 ) where z 0 in upper plane : x 0 on x-axis : Kramer-Kronig (dispersion) relations
Symmetry Relations Let & crossing conditions Sum Rules Ex. 12. 8. 4
Optical Dispersion ~ EM wave moving toward +x with In a media with dielectric constant , = 1 & conductivity (Gaussian units) : For poor conductor ~ absorption In general,
1 as Let Kramer-Kronig relations
The Parseval Relation Hilbert transform : u & v are Hilbert transforms of each other. Parseval relation : Proof : is finite for any transform pair u & v.
Ex. 12. 8. 8 Thus, presence of refraction ( Re n 2 1 ) for some range absorption ( Im n 2 0 ) for some range.