4 3 Covariance Correlation 1 Covariance Definition 4

  • Slides: 14
Download presentation
4. 3 Covariance � Correlation

4. 3 Covariance � Correlation

1. Covariance Definition 4. 3 That is to say If X and Y are

1. Covariance Definition 4. 3 That is to say If X and Y are discrete random variables, If X and Y are continuous random variables,

Proof

Proof

Example Suppose that (X, Y) is uniformly distributed on D={(X, Y):x 2+y 2 1}.

Example Suppose that (X, Y) is uniformly distributed on D={(X, Y):x 2+y 2 1}. Prove that X and Y are uncorrelated but not independent. Proof

Thus X and Y are uncorrelated. Since Thus, X is not independent of Y.

Thus X and Y are uncorrelated. Since Thus, X is not independent of Y.

2. Properties of covariance: P 82 (1) Cov(X, Y)=Cov(Y, X); (2) Cov(a. X, b.

2. Properties of covariance: P 82 (1) Cov(X, Y)=Cov(Y, X); (2) Cov(a. X, b. Y)=ab. Cov(X, Y), where a, b are constants Proof Cov(a. X, b. Y)=E(a. Xb. Y)-E(a. X)E(b. Y) =ab. E(XY)-a. E(X)b. E(Y) =ab[E(XY)-E(X)E(Y)] =ab. Cov(X, Y)

(3) Cov(X+Y,Z)=Cov(X, Z)+Cov(Y, Z); Proof Cov(X+Y,Z)= E[(X+Y)Z]-E(X+Y)E(Z) =E(XZ)+E(YZ)-E(X)E(Z)-E(Y)E(Z) =Cov(X, Z)+Cov(Y, Z) (4) D(X+Y)=D(X)+D(Y)+2 Cov(X,

(3) Cov(X+Y,Z)=Cov(X, Z)+Cov(Y, Z); Proof Cov(X+Y,Z)= E[(X+Y)Z]-E(X+Y)E(Z) =E(XZ)+E(YZ)-E(X)E(Z)-E(Y)E(Z) =Cov(X, Z)+Cov(Y, Z) (4) D(X+Y)=D(X)+D(Y)+2 Cov(X, Y). Remark D(X-Y)=D[X+(-Y)]=D(X)+D(Y)-2 Cov(X, Y) Example 4. 15 ----P 84

3. Correlation Coefficients Definition 4. 4 Suppose that r. v. X,Y has finite variance,

3. Correlation Coefficients Definition 4. 4 Suppose that r. v. X,Y has finite variance, dentoed by DX>0, DY>0,respectively, then, is name the correlation coefficients of r. v. X and Y.

Properties of coefficients (1) | XY| 1; (2) | XY|=1 There exists constants a,

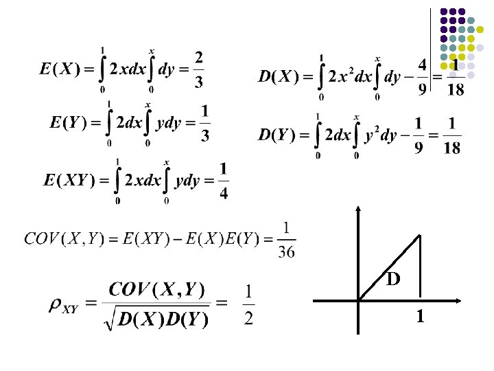
Properties of coefficients (1) | XY| 1; (2) | XY|=1 There exists constants a, b such that P {Y= a. X+b}=1; (3) X and Y are uncorrelated XY; 1. Suppose that (X, Y) are uniformly distributed on D: 0<x<1, 0<y<x, try to determine the coefficient of X and Y. x=y Answer D 1

D 1

D 1

Answer 1) 2) What does Example 2 indicate?

Answer 1) 2) What does Example 2 indicate?

Proof

Proof

Note P 86 Thus, if (X,Y)follow two-dimensional distribution, then “X and Y are independent”

Note P 86 Thus, if (X,Y)follow two-dimensional distribution, then “X and Y are independent” is equvalent to “X and Y are uncorrelated

Example 4. 16— 4. 18 (P 86) Exercise: P 90— 11 Find Cov(X, Y),

Example 4. 16— 4. 18 (P 86) Exercise: P 90— 11 Find Cov(X, Y), 12 Homework: P 91— 16, 17