3 Neumann Functions Bessel Functions of the 2
3. Neumann Functions, Bessel Functions of the 2 nd Kind Neumann Functions : x << 1
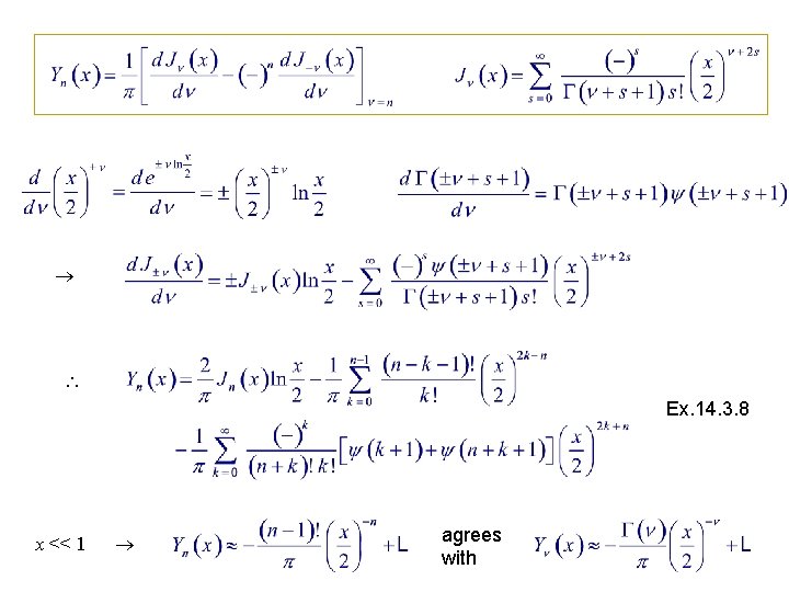
Ex. 14. 3. 8 x << 1 agrees with
Mathematica For x , periodic with amp x 1/2 /2 phase difference with Jn
Integral Representation Ex. 14. 3. 7 Ex. 14. 4. 8
Recurrence Relations
Since Y satisfy the same RRs for J , they are also the solutions to the Bessel eq. Caution: Since RR relates solutions to different ODEs (of different ), it depends on their normalizations.
Wronskian Formulas For an ODE in self-adjoint form the Wronskian of any two solutions satisfies Bessel eq. in self-adjoint form : For a noninteger , the two independent solutions J & J satisfy Ex. 7. 6. 1
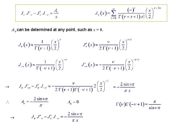
A can be determined at any point, such as x = 0.
More Recurrence Relations Combining the Wronskian with the previous recurrence relations, one gets many more recurrence relations
Uses of Neumann Functions 1. Complete the general solutions. 2. Applicable to any region excluding the origin ( e. g. , coaxial cable, quantum scattering ). 3. Build up the Hankel functions ( for propagating waves ).
Example 14. 3. 1. Coaxial Wave Guides EM waves in region between 2 concentric cylindrical conductors of radii a & b. ( c. f. , Eg. 14. 1. 2 & Ex. 14. 1. 26 ) For TM mode in cylindrical cavity (eg. 14. 1. 2) : For TM mode in coaxial cable of radii a & b : with Note: No cut-off for TEM modes.
4. Hankel Functions, H (1) (x) & H (2) (x) Hankel functions of the 1 st & 2 nd kind : c. f. for x real For x << 1, >0:
Recurrence Relations
Contour Representations See Schlaefli integral The integral representation is a solution of the Bessel eq. if at end points of C.
The integral representation is a solution of the Bessel eq. for any C with end points t = 0 and Re t = . Consider Mathematica If one can prove then
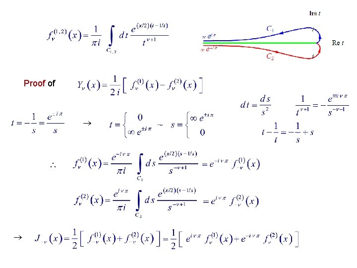
Proof of
QED i. e. are saddle points. (To be used in asymptotic expansions. )
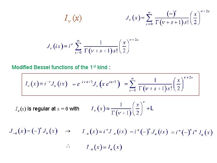
5. Modified Bessel Functions, I (x) & K (x) Bessel equation : oscillatory Modified Bessel equation : Modified Bessel functions Bessel eq. exponential Modified Bessel eq. are all solutions of the MBE.
I (x) Modified Bessel functions of the 1 st kind : I (x) is regular at x = 0 with
Mathematica
Recurrence Relations for I (x)
2 nd Solution K (x) Modified Bessel functions of the 2 nd kind ( Whitaker functions ) : Recurrence relations : For x 0 : Ex. 14. 5. 9
Integral Representations Ex. 14. 5. 14
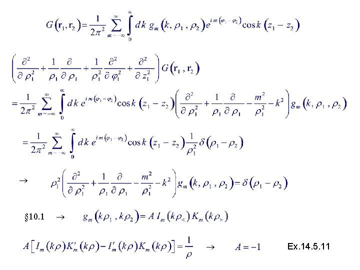
Example 14. 5. 1. A Green’s Function Green function for the Laplace eq. in cylindrical coordinates : Let
§ 10. 1 Ex. 14. 5. 11
- Slides: 25