3 1 120 2 100 3 140 4

  • Slides: 13
Download presentation

ເດອນ ຍອດຂາຍ ຄາສະເລຍເຄອນທ 3 ເດອນ 1 120 - 2 100 - 3 140 -

ເດອນ ຍອດຂາຍ ຄາສະເລຍເຄອນທ 3 ເດອນ 1 120 - 2 100 - 3 140 - 4 240 120 5 280 160 6 398 220 7 222 306 8 166 300 9 152 262 10 - 180

����� A F A-F |l A-F|l 4 240 120 120 14400 50 5 280

����� A F A-F |l A-F|l 4 240 120 120 14400 50 5 280 160 120 14400 42. 85 6 398 220 178 31684 44. 72 7 222 306 - 84 84 7056 37. 83 8 166 300 - 134 17956 80. 72 9 152 262 - 110 12100 72. 36 746 97. 596 328, 48 ���

ວທແກ: ປ 1997 1998 1999 2000 2001 2002 2003 X Y XY

ວທແກ: ປ 1997 1998 1999 2000 2001 2002 2003 X Y XY

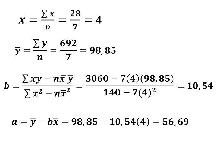
ວທແກ: ປ X Y XY 1997 1998 1 2 74 79 74 158 1

ວທແກ: ປ X Y XY 1997 1998 1 2 74 79 74 158 1 4 1999 2000 2001 2002 2003 ລວມ 3 4 5 6 7 28 80 90 105 142 122 692 240 360 525 852 854 3063 9 16 25 36 49 140