20 Elads Szerves vegyletek knatommal SZERVES VEGYLETEK KNATOMMAL


![Áttekintés A kénatomhoz kapcsolódó ligandumok száma [2] [1] R R S S [3] [4] Áttekintés A kénatomhoz kapcsolódó ligandumok száma [2] [1] R R S S [3] [4]](https://slidetodoc.com/presentation_image_h2/71b9e29ddd6a5abc3012207bea583077/image-3.jpg)













- Slides: 16
20. Előadás Szerves vegyületek kénatommal
SZERVES VEGYÜLETEK KÉNATOMMAL CH 2=CH-CH 2 -S-S-CH 2 -CH=CH 2 diallil-diszulfid (fokhagyma olaj) merkapto-purin szacharin tiofén szulfonamid (Ultraseptyl) szén-diszulfid tio-glikolsav metionin (Met) cisztein (Cys) (merkaptoecetsav, szulfhidril-ecetsav) . . . ciszteamin pantoténsav adenozin-3’, 5’difoszfát pantotein KOENZIM A
Áttekintés A kénatomhoz kapcsolódó ligandumok száma [2] [1] R R S S [3] [4] R R H R' + S R' R" tiol tiovegyület (pl. tioketon) R" R R''' X- szulfóniumsó szulfurán O R S R' O O szulfon szulfoxid szulfid R' S R R S S S R' diszulfid R' HN szulfilimin O R R S S OH R OH OH O O szulfénsav S szulfinsav szulfonsav Csoportok: O O -SH R S Cl O tiokarbonil merkapto szulfhidril szulfonil-klorid R S NH 2 O szulfon(sav)amid
Nomenklatúra, példákkal H 3 C 1 CH 2 SH etán-tiol (etil-hidrogénszulfid, etil-merkaptán) Cl HO SH SH 3 -klór-2 -metil-1 propántiol 2 -merkapto-etanol O S S Cl etil-metil-szulfid 1 -klór-2, 3 -epitiopropán O HO S H 3 C CH 3 O H 5 C 2 O S CH 3 O metánszulfonsavetilészter S SO 2 H 2 N CH 3 metánszulfonamid tetrametilén-szulfid CH 3 dimetil-szulfoxid 3 O S SO 3 H 1 COOH 3 -szulfo-1 ciklohexánkarbonsav
Szerkezet Elektronok Jellegzetességek I. sor C N O F II. sor Si P S Cl SEN(2, 5) < OEN(3, 5) A. analógia oxigénnel B. nagyobb sugarú vegyértékhéj kisebb EN kisebb bázicitás polározhatóság C. különleges sztereokémia S: 3 s 2 3 px 2 3 py 1 3 pz 1 3 d 0. . . 1 ligandumos kénvegyületek (tiovegyületek) S C . . s kötés: C(2 sp 2) – S(3 sp 2) p kötés: C(2 p) – S(3 p) nem stabilis Példa: 3 CH 3 -CH=S tioaldehid de: . . tionészter: konjugált rendszer stabil
2 ligandumos kénvegyületek (tiol, tioéter) nem lineáris CH 3 S H S CH 3 HSH <) 92, 5° CSH <) 96, 5° CSC <) 98, 5° HOH COC 104, 5° s: 105° H(s) – S(p); C(2 sp 3) – S(3 p) H - S: 335 k. J/mol C - S: 267 k. J/mol H – O: 452 k. J/mol C – O: 347 k. J/mol 112° 3 ligandumos kénvegyületek (szulfoxid, szulfóniumsó) s: (3 sp 3) – (2 sp 3) CH 3 S CH 3 C – S: 1, 83Å CSC kötésszög: 103° piramisos, királis CH 3 S O- CH 3 C – S: 1, 81 Å C – O: 1, 47 Å CSC kötésszög: 96, 4° CSO: 106, 7° piramisos, királis s: C(2 sp 3) – S(3 sp 3) – O(2 sp 2) p: S(3 d) – O(2 p) S O
Összegzés O S CH 3 szulfid CH 3 S O CH 3 szulfoxid CH 3 S CH 3 szulfon Kötéshosszak: C – S 1, 82Å C–S 1, 81Å C–S 1, 78Å S=O 1, 47Å S=O 1, 44Å Kötésszögek: CSC 98, 5° CSC 96, 4° CSC 103° CSO 106, 7° CSO 108, 7° OSO 118° O
Fizikai tulajdonságok A. Tiolok Forráspont (°C) X=S X=O H 2 X* -62 100 CH 3 XH* 6 65 CH 3 CH 2 XH* 35 78 CH 3 XCH 3 37 -24 1/10 millió nincs H-híd kötés* illékonyság: CH 3 CH 2 SH hagyma CH 3(CH 2)3 SH görény B. Szulfoxidok, szulfonok d+ H-híd: akceptor d- dipoláros, aprotikus oldószer op: 18°C C. Szulfonsavak (O-H sav) O S oldékonyság OH O detergensek: Cn. H 2 n+1 O Na+ nátrium-alkilszulfát
Kémiai reakciók 1. Sav-bázis sajátság Tiol, szulfid savas jelleg, p. Ka=11 (vö. OH p. Ka=17) . . . . bázikus jelleg (gyengébb, mint : O: ) Szulfoxid, szulfon savas jelleg a CH 2 R' a R S R' O R-SO-CH 2 -R’ konjugáció: delokalizált nincs tautomerizáció! S O bázikus jelleg Példa: O CH 2 -H+ Et. O- R
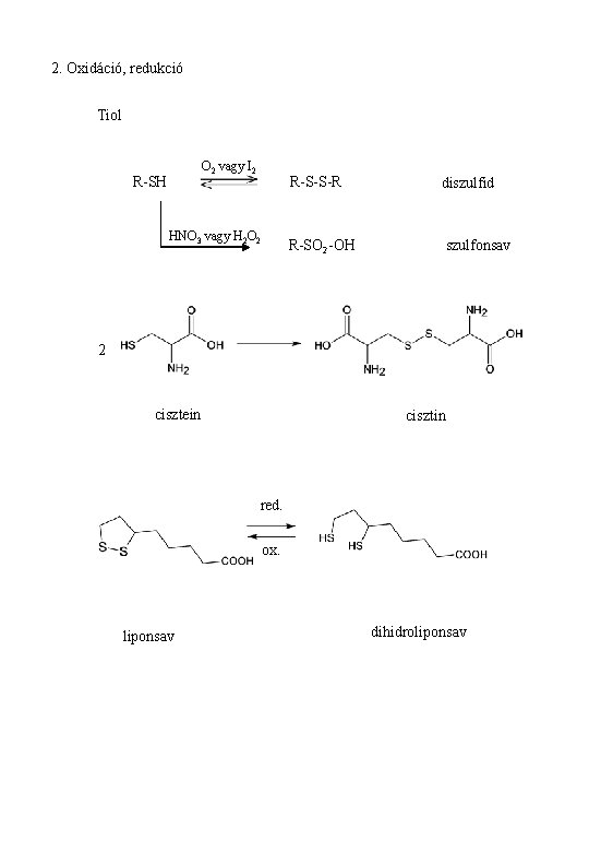
2. Oxidáció, redukció Tiol O 2 vagy I 2 R-SH HNO 3 vagy H 2 O 2 R-S-S-R diszulfid R-SO 2 -OH szulfonsav 2 cisztein cisztin red. ox. liponsav dihidroliponsav
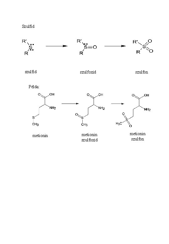
Szulfid szulfoxid szulfon Példa: metionin szulfoxid metionin szulfon
3. Nukleofil szubsztitúció 3. 1. Alkilezés R-SH Et. O-Et. OH R-S: - R°-S-R + R”-X R-S: - + R°-X éter R°-S-R + X- R°R”-SR. . . R°R”R”’-S+R Xszulfóniumsó Hofmann-analóg elimináció 1, 2, 3 - Me 2 S -H 2 O tiol szulfónium só alkén 1: Et. O-, Me. I; 2: Me. I, éter; 3: Ag 2 O, H 2 O 3. 2. Acilezés + HCl acetil-klorid alkil-tioacetát acil transzferáz Koenzim A acetil-koenzim A
Tiolok reaktivitása (tiol, merkaptán = „mercurium captans”) 1. Nukleofil sajátság 2. Savi jelleg -SH > -OH 3. Oxidáció R-SH + H 2 O 2 R-S-S-R + 2 H 2 O Tiolok előállítása 1. CH 3 CH 2 -Br (I) + KOH + H 2 S Et. OH felesleg CH 3 CH 2 -SH + KBr + H 2 O D ha nincs felesleg: CH 3 CH 2 -SH + KOH CH 3 CH 2 -S-K+ + CH 3 CH 2 -Br CH 3 CH 2 -S-K+ CH 3 CH 2 -S-CH 2 CH 3 + KBr tioéter 2. . . CH 3 CH 2 -Br + (NH 2)2. . C=S Et. OH S-etil-izotiourónium-bromid tiourea (NH 2)2 C=O + CH 3 CH 2 -SH urea (karbamid) + (NH 2. . )2 C=S-CH 2 CH 3 Br- etántiol 1. OH-/H 2 O 2. H+
Aminok reakciója szulfonil-kloriddal (Hinsberg-reakció) 1. Primer amin. . KOH - HCl N-alkil-szulfonsavamid (tiszta oldat H+ csapadék) 2. Szekunder-amin. . KOH - HCl N, N-dialkil-szulfonsavamid (csapadék) 3. Tercier-amin. . KOH - HCl N, N, N-trialkil-szulfonsavamid (csapadék OHhidrolízis tiszta oldat)
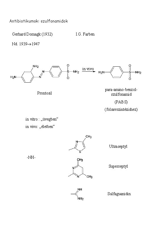
Antibiotikumok: szulfonamidok Gerhard Domagk (1932) I. G. Farben Nd. 1939 1947 in vivo Prontosil para-amino-benzolszulfonamid (PABS) (folsavszintézishez) in vitro : „üvegben” in vivo: „életben” Ultraseptyl -NHSuperseptyl Sulfaguanidin
A fodrásznál SH SS HS-CH 2 -COOH SS SS SH tiogliokolsav H 2 O 2 SS SH SH HS SH SH Mérgezés S-Hg-S Hg 2+ SH SH As. O 33 arzenit enzim (protein) -O-As S S HS