2 6 some useful orthogonal functions Orthogonal wx

  • Slides: 22
Download presentation
2. 6 some useful orthogonal functions Orthogonal의 정의 w(x) : weight function 2020 -10

2. 6 some useful orthogonal functions Orthogonal의 정의 w(x) : weight function 2020 -10 -24 서강대학교 전자공학과 1

구간 (a, b)에서 정의된 임의의 함수 f(x)는 함수의 complete, orthogonal set으로 표현 가능. Expansion

구간 (a, b)에서 정의된 임의의 함수 f(x)는 함수의 complete, orthogonal set으로 표현 가능. Expansion constant Weighted norm 2020 -10 -24 서강대학교 전자공학과 2

For Hermite polynomial Series expansion formula Recurrence relation 2020 -10 -24 서강대학교 전자공학과 6

For Hermite polynomial Series expansion formula Recurrence relation 2020 -10 -24 서강대학교 전자공학과 6

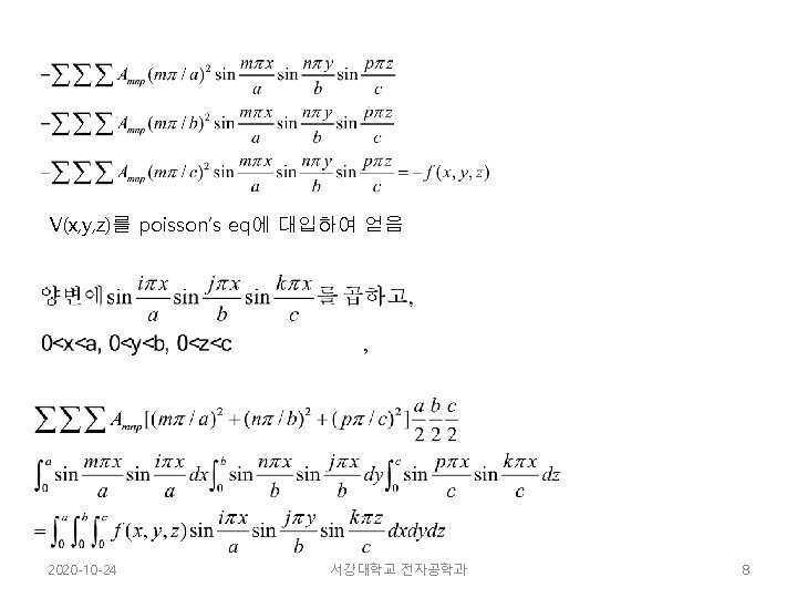
2. 7 Series Expansion 2. 7. 1 Poisson’s equation in a cube Series expansion으로

2. 7 Series Expansion 2. 7. 1 Poisson’s equation in a cube Series expansion으로 풀어보면 2020 -10 -24 서강대학교 전자공학과 7

2. 7. 2 Poisson’s equation in a cylinder 2020 -10 -24 서강대학교 전자공학과 10

2. 7. 2 Poisson’s equation in a cylinder 2020 -10 -24 서강대학교 전자공학과 10

Complete solution 2020 -10 -24 서강대학교 전자공학과 15

Complete solution 2020 -10 -24 서강대학교 전자공학과 15

2. 7. 3 Strip transmission line Shielded box 안의 strip conductor Symmetry에 의해서 ¼로

2. 7. 3 Strip transmission line Shielded box 안의 strip conductor Symmetry에 의해서 ¼로 나눠서 생각할 수 있음. 2020 -10 -24 서강대학교 전자공학과 16