2 6 Related Rates 2 6 Related Rates

  • Slides: 14
Download presentation
2. 6 Related Rates

2. 6 Related Rates

2. 6 Related Rates

2. 6 Related Rates

2. 6 Related Rates Geometric Model dx/dt? Solve on Board

2. 6 Related Rates Geometric Model dx/dt? Solve on Board

You cannot put in values for variables until you have differentiated! Variable Constant Geometric

You cannot put in values for variables until you have differentiated! Variable Constant Geometric Model Implicit Differentiation Variable

In an engine, a 7” connecting rod is fastened to a crankshaft of radius

In an engine, a 7” connecting rod is fastened to a crankshaft of radius 3”. The crankshaft rotates counterclockwise at a constant rate of 200 revolutions per minute. Find the velocity of the piston when Crankshaft = 3” Connecting Rod = 7” Piston = x”

In an engine, a 7” connecting rod is fastened to a crankshaft of radius

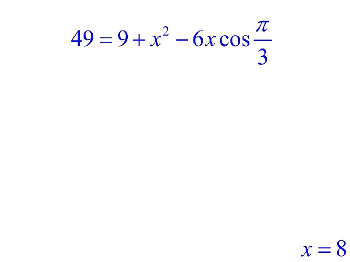
In an engine, a 7” connecting rod is fastened to a crankshaft of radius 3”. The crankshaft rotates counterclockwise at a constant rate of 200 revolutions per minute. Find the velocity of the piston when Crankshaft = 3” Connecting Rod = 7” Piston = x” Law of Cosines

In an engine, a 7” connecting rod is fastened to a crankshaft of radius

In an engine, a 7” connecting rod is fastened to a crankshaft of radius 3”. The crankshaft rotates counterclockwise at a constant rate of 200 revolutions per minute. Find the velocity of the piston when Crankshaft = 3” Connecting Rod = 7” Piston = x” Implicit Differentiation: Solution

You could divide every term by 2.

You could divide every term by 2.

In an engine, a 7” connecting rod is fastened to a crankshaft of radius

In an engine, a 7” connecting rod is fastened to a crankshaft of radius 3”. The crankshaft rotates counterclockwise at a constant rate of 200 revolutions per minute. Find the velocity of the piston when Crankshaft = 3” Connecting Rod = 7” Piston = x”

Diagram

Diagram

2. 6 Related Rates

2. 6 Related Rates

9. 4 Law of Cosines Problem

9. 4 Law of Cosines Problem