2 1 FINITE LIMITS One Sided Limits Double
2. 1 FINITE LIMITS One Sided Limits, Double Sided Limits and Essential Discontinuities Mathgotserved. com www. mathgotserved. com 1
www. mathgotserved. com 2
Geometric View of Limits • Look at a polygon inscribed in a circle As the number of sides of the polygon increases, the polygon is getting closer to becoming a circle.
If we refer to the polygon as an n-gon, where n is the number of sides we can make some mathematical statements: • As n gets larger, the n-gon gets closer to being a circle • As n approaches infinity, the n-gon approaches the circle • The limit of the n-gon, as n goes to infinity is the circle The symbolic statement is: Note: The n-gon approaches a circle in appearance even though it is not a circle. It might as well be a circle.
The Limit of a Function Definition (verbal) The limit of a function is the value the function approaches as the independent variable approaches a value, negative or positive infinity. Or think of it as the y value the function approaches as you approach a specific x value. Analytical Representation “Read as the limit of f(x) as x approaches a is L” Can also be expressed as f(x)→L as x→a www. mathgotserved. com 5
Properties of Limits 1. Sum Rule: 2. Difference Rule: 3. Product Rule: 4. Quotient Rule: 5. Constant Rule: 6. Power Rule
WHY LEARN LIMITS? Real World Application : Calculating Speed(Mathematicians: 42 -145 k/yr) Limits are used in derivatives when mathematicians are calculating the velocity of an object in flight. www. mathgotserved. com 7
One-Sided Limits (Verbal) Numbers x near c fall into two natural categories: those that lie to the left of c and those that lie to the right of c. We write [The left-hand limit of f(x) as x tends to c is L. ] to indicate that as x approaches c from the left, f(x) approaches L. We write [The right-hand limit of f(x) as x tends to c is L. ] to indicate that as x approaches c from the right, f(x) approaches L www. mathgotserved. com 8
How close can Raul Get to the garage? www. mathgotserved. com 9
Definition of a Limit Left hand Limit: We say the limit as x approaches a from the left L Right hand Limit: is We say the limit as x approaches a from the left L is Double sided Limits We say the limit as x approaches a is L www. mathgotserved. com 10
Procedures for Finding Finite Limits Algebraically
Finding Finite Limits Algebraically Determine the limit of the following www. mathgotserved. com 12
Problem 4: Determine the limit Solution: www. mathgotserved. com 13
Problem 5: Determine the limit Solution: www. mathgotserved. com 14
Procedure for Finding Graphical Limits Point: Find the y coordinate of the point that you are approaching from that direction. Horizontal Asymptote: Find the y coordinate of the equation of the line Vertical Asymptote: One sided +/- infinity, Double sided does note exist.
Problem 1: Solution From both sides you are approaching the point (1, 0). The limit is the y coordinate so
Finding Limits Graphically Problem 2: Use the graph to find the following www. mathgotserved. com 17
Problem 3 f(2) = und www. mathgotserved. com 4 1 4 2 4 dne f(4) = 2 18
Finding Finite Limits Numerically Problem 1: Find the following numerically using the table of values x 4 3 2 1 0 -1 f (x) 5. 001 5. 0001 34 5. 0001 5. 01 www. mathgotserved. com 19
Problem 2: Find the following limits Numerically x 2. 02 2. 01 2 1. 99 1. 98 1. 97 f (x) -9. 999 Error 2. 9999 2. 99 www. mathgotserved. com 20
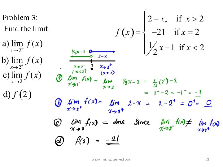
Problem 3: Find the limit www. mathgotserved. com 21
Problem 4: Find the limit www. mathgotserved. com 22
- Slides: 22