2 1 Equations Solving Equations with the Variable
2. 1 Equations Solving Equations with the Variable on Both Sides Objectives: • to solve equations with the variable on both sides. • to solve equations containing grouping symbols. • Solve linear equations in one variable. • Apply these skills to solve practical problems. • Justify steps used in solving equations.
To solve these equations, • Use the addition or subtraction property to move all variables to one side of the equal sign.
Let’s see a few examples: 1) 6 x - 3 = 2 x + 13 -2 x 4 x - 3 = 13 +3 +3 4 x = 16 4 4 x=4 Be sure to check your answer! 6(4) - 3 =? 2(4) + 13 24 - 3 =? 8 + 13 21 = 21
Let’s try another! 2) 3 n + 1 = 7 n - 5 -3 n 1 = 4 n - 5 +5 +5 6 = 4 n 4 4 Reduce! 3 = n 2 Check: 3(1. 5) + 1 =? 7(1. 5) - 5 4. 5 + 1 =? 10. 5 - 5 5. 5 = 5. 5
Here’s a tricky one! 3) 5 + 2(y + 4) = 5(y - 3) + 10 • Distribute first. 5 + 2 y + 8 = 5 y - 15 + 10 • Next, combine like terms. 2 y + 13 = 5 y - 5 • Now solve. (Subtract 2 y. ) 13 = 3 y - 5 (Add 5. ) 18 = 3 y (Divide by 3. ) 6=y Check: 5 + 2(6 + 4) =? 5(6 - 3) + 10 5 + 2(10) =? 5(3) + 10 5 + 20 =? 15 + 10 25 = 25
Let’s try one with fractions! 4) Steps: • Multiply each term by the least common denominator (8) to eliminate fractions. 3 - 2 x = 4 x - 6 3 = 6 x - 6 9 = 6 x so x = 3/2 • Solve for x. • Add 2 x. • Add 6. • Divide by 6.
Two special cases: 6(4 + y) - 3 = 4(y - 3) + 2 y 3(a + 1) - 5 = 3 a - 2 24 + 6 y - 3 = 4 y - 12 + 2 y 3 a + 3 - 5 = 3 a - 2 21 + 6 y = 6 y - 12 - 6 y 21 = -12 Never true! 21 ≠ -12 NO SOLUTION! 3 a - 2 = 3 a - 2 -3 a -2 = -2 Always true! We write IDENTITY.
2. 1 Answers (4 -64 x 4) (4 -24 graphing) (28 -44 solve) 4. 0 8. 5 12. 10. 2 16. . 73 20. . 5 24. 5. 8 28. Null Set 32. -25/6 36. Null Set 40. All Reals, x ≠ ± 5/2 44. Null Set 52. -29/4 56. Choose any a and b such that b = -5/3 a 60. r=C/2 64. I = V/r
Understanding Algebra Word Problems 2. 2 Applied Problems
Word Problem Types • Distance Problems • Mixture Problems • Work Problems
Distance Problems Distance = (rate)(time)
Types • Traveling in the Same Direction – Overtaking – Separating • Traveling in Opposite Directions – Traveling Toward Each Other – Traveling Away From Each Other • Going and Returning
Overtaking Problem • A fishing boat leaves Tampa Bay at 4: 00 a. m. and travels at 12 knots. At 5: 00 a. m. a second boat leaves the same dock for the same destination and travels at 14 knots. How long will it take the second boat to catch the first? • Let t be travel time of first boat • Then t – 1 is the travel time of second boat • 14(t – 1) = 12 t
Separating in Same Direction • • Key: Travel time same for both Faster Vehicle = rft Slower Vehicle = rst Solution: rft - rst = Constant – Constant is desired distance between
Separating Problem • At the auto race one car travels 190 mph while another travels 195 mph. How long will it take the faster car to gain two laps on the slower car if the speedway track is 2. 5 miles long? • Let t be the racing time • 195 t – 190 t = (2)(2. 5)
Coming Together Problem • A freight train leaves Centralia for Chicago at the same time a passenger train leaves Chicago for Centralia. The freight train moves at a speed of 45 mph, and the passenger train travels at a speed of 64 mph. If Chicago and Centralia are 218 miles apart, how long will it take the two trains to meet? • Let t be time to meet • 45 t + 64 t = 218
Going and Returning Problem • Brandon and Shanda walk to Grandma’s house at a rate of 4 mph. They ride their bicycles back home at a rate of 8 mph over the same route that they walked. It takes one hour longer to walk than to ride. How long did it take them to walk to Grandma’s? • Let h be time to walk • Then h – 1 is time to ride • 4 h = 8(h – 1)
Mixture Problems
Coin Problem • A coin bank contains four more quarters than nickels, twice as many dimes as nickels, and five more than three times as many pennies as nickels. If the bank contains $22. 25, how many of each coin are in it? • Let n be number of nickels • n + 4 = quarters • 2 n = dimes • 3 n + 5 = pennies (3 n + 5)(0. 01) + n(0. 05) + 2 n(0. 10) + (n + 4)(0. 25) = 22. 25
Interest Problem • An investor has $500 more invested at 7% than he does at 5%. If his annual interest is $515, how much does he have invested at each rate? • Let p be amount at 5% • Then p + 500 is amount at 7% • p(0. 05)(1) + (p + 500)(0. 07)(1) = 515
Solutions Problem • How many gallons of cream that is 30% butterfat must be mixed with milk that is 3% butterfat to make 45 gallons that are 12% butterfat? • Let c be gallons of cream • Then 45 – c is gallons of milk • 0. 30 c + 0. 03(45 – c) = 0. 12(45)
Work Problems work done = (rate of work)(time spent)
Work Problem • Ron, Mike, and Tim are going to paint a house together. Ron can paint one side of the house in 4 hours. To paint an equal area, Mike takes only 3 hours and Tim 2 hours. If the men work together, how long will it take them to paint one side of the house? • Let t be time needed to paint the side. • (1/4)t + (1/3)t + (1/2)t = 1
2 -2 Word Problems Solutions 3. Gross Pay – deductions = Net (take home) pay ; X -. 40 x = 492 6. 40($10) + x($15) = 595; 13 hrs. overtime 9. x(2) + (600 -x)(5) = 2400 12. x(1) + (15 -x)10 = 15(2); 13. 3 of 1% & 1. 6 of 10% 15. (a) 1. 5 t + 2 t = 224; (b) 64(1. 5) = 96 m; 64(2) = 128 miles 18. 1 st – 1 + 4 t miles; 2 nd – 6 t; r*t = d; 4(t+. 25) + 6 t = 2; 6 min or 1: 21 21. Time (to target) + Time (from target) = Time (total); x/3300 + x/1100 = 1. 5 24. 1 st story = (8*30) = 240; 2 nd story = (30*3) + ½(30)(h-3); 15 h + 45 = 240; 13 ft. 27. V = 2/3 л*r 3 + лr 2 h = 11250 л 30. 1/8 + 1/5 = 1/x; 40/13 hrs. 33. GPA = total weighted honor pts. / total credit hours; 3. 2 = (4. 8(2. 75) + x(4. 0)) / (48+x)
2. 3 Quadratic Equations,
Solving a Quadratic Equation • by factorization • by graphical method • by taking square roots • by quadratic formula • by using completing square
By factorization roots (solutions)
By graphical method y roots O x
By taking square roots
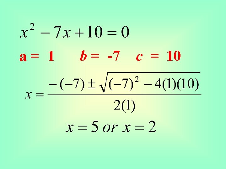
Solving a Quadratic Equation by the quadratic Formula
By quadratic formula
a= 1 b = -7 c = 10
What are we going to do if we have non-zero values for a, b and c but can't factor the left hand side? This will not factor so we will complete the square and apply the square root method. First get the constant term on the other side by subtracting 3 from both sides. 9 9 Let's add 9. Right now we'll see that it works and then we'll look at how to find it. We are now going to add a number to the left side so it will factor into a perfect square. This means that it will factor into two identical factors. If we add a number to one side of the equation, we need to add it to the other to keep the equation true.
Now factor the left hand side. This can be written as: two identical factors Now we'll get rid of the square by square rooting both sides. Remember you need both the positive and negative root! Subtract 3 from both sides to get x alone. These are the answers in exact form. We can put them in a calculator to get two approximate answers.
Let's solve another one by completing the square. 2 2 To complete the square we want the coefficient of the x 2 term to be 1. Divide everything by 2 16 16 Since it doesn't factor get the constant on the other side ready to complete the square. So what do we add to both sides? the middle term's coefficient divided by 2 and squared Factor the left hand side Square root both sides (remember ) Add 4 to both sides to get x alone
• http: //www. youtube. com/watch? v=j. GJr. H 49 Z 2 ZA&feature=related
In general, a quadratic equation may have : (1) two distinct (unequal) real roots (2) one double (repeated) real root (3) no real roots
Two distinct (unequal) real roots x-intercepts
One double (repeated) real roots x-intercept
No real roots no x-intercept
Nature of Roots
△= 2 b - 4 ac Since the expression b 2 - 4 ac can be used to determine the nature of the roots of a quadratic equation in the form ax 2 – bx + c = 0, it is called the discriminant of the quadratic equation.
Two distinct (unequal) real roots △ = b 2 - 4 ac > 0 x-intercepts
One double (repeated) real roots △ = b 2 - 4 ac = 0 x-intercept
No real roots △ = b 2 - 4 ac < 0 no x-intercept
Homework pp. 90 -91 (25 -35 all, 35 graphing, 47, 55) 26. a) 55. a) b) 9 c) ± 10 d) ± 9 28. b) 30. 32. -3, 2/5
The Discoverers of Imaginary Numbers Complex numbers were first conceived and defined by the Italian mathematician Gerolamo Cardano, who called them "fictitious", during his attempts to find solutions to cubic equations. However, Imaginary numbers were defined in 1572 by Rafael Bombelli. At the time, such numbers were regarded by some as fictitious or useless, much as zero and the negative numbers.
Imaginary Number Timeline • http: //www. google. com/search? q=history+o f+imaginary+numbers&hl=en&safe=active &tbs=tl: 1&tbo=u&ei=l. XW 6 Srvs. Kp. Ge. MIT eh. OAP&sa=X&oi=timeline_result&ct=title &resnum=11
2. 4 Complex Numbers OBJECTIVES • Use the imaginary unit i to write complex numbers • Add, subtract, and multiply complex numbers • Use quadratic formula to find complex solutions of quadratic equations
Consider the quadratic equation x 2 + 1 = 0. What is the discriminant ? a = 1 , b = 0 , c = 1 therefore the discriminant is 02 – 4 (1)(1) = – 4 If the discriminant is negative, then the quadratic equation has no real solution. (p. 114) Solving for x , gives x 2 = – 1 We make the following definition:
Note that squaring both sides yields Real numbers and imaginary numbers are subsets of the set of complex numbers. Real Numbers Imaginary Numbers Complex Numbers
Definition of a Complex Number If a and b are real numbers, the number a + bi is a complex number written in standard form. If b = 0, the number a + bi = a is a real number. If , the number a + bi is called an imaginary number. A number of the form bi, where , is called a pure imaginary number. Write the complex number in standard form
Equality of Complex Numbers Two complex numbers a + bi and c + di, are equal to each other if and only if a = c and b = d Find real numbers a and b such that the equation ( a + 6 ) + 2 bi = 6 – 5 i. a+6=6 2 b = – 5 a=0 b = – 5/2
Addition and Subtraction of Complex Numbers, p. 127 If a + bi and c +di are two complex numbers written in standard form, their sum and difference are defined as follows. Sum: Difference:
Perform the subtraction and write the answer in standard form. ( 3 + 2 i ) – ( 6 + 13 i ) (3 – 6) + (2 – 13)i – 3 – 11 i 4
Properties for Complex Numbers p. 126 • Associative Properties of Addition and Multiplication • Commutative Properties of Addition and Multiplication • Distributive Property of Multiplication Multiplying complex numbers is similar to multiplying polynomials and combining like terms. Perform the operation and write the result in standard form. ( 6 – 2 i )( 2 – 3 i ) F O I L 12 – 18 i – 4 i + 6 i 2 12 – 22 i + 6 ( -1 ) 6 – 22 i
Consider ( 3 + 2 i )( 3 – 2 i ) 9 – 6 i + 6 i – 4 i 2 9 – 4( -1 ) 9+4 13 This is a real number. The product of two complex numbers can be a real number.
Complex Conjugates and Division p. 129 Complex conjugates-a pair of complex numbers of the form a + bi and a – bi where a and b are real numbers. ( a + bi )( a – bi ) a 2 – abi + abi – b 2 i 2 a 2 – b 2( -1 ) a 2+b 2 The product of a complex conjugate pair is a positive real number.
To find the quotient of two complex numbers multiply the numerator and denominator by the conjugate of the denominator.
Perform the operation and write the result in standard form. (Try p. 131 #45 -54)
Principle Square Root of a Negative Number, If a is a positive number, the principle square root of the negative number –a is defined as
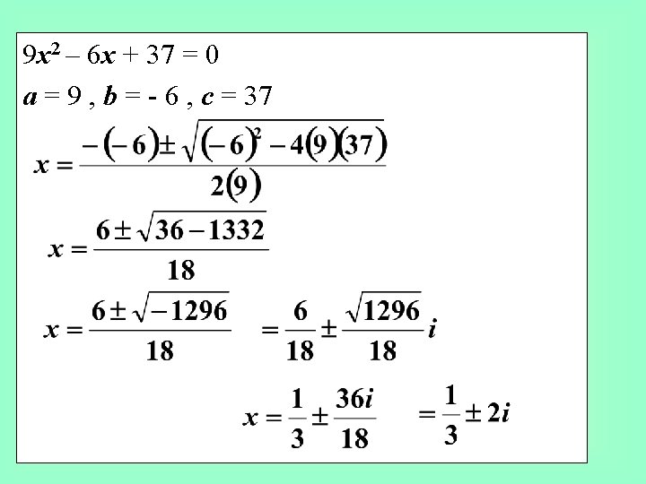
Use the Quadratic Formula to solve the quadratic equation. 9 x 2 – 6 x + 37 = 0 a = 9 , b = - 6 , c = 37 What is the discriminant? ( - 6 ) 2 – 4 ( 9 )( 37 ) 36 – 1332 -1296 Therefore, the equation has no real solution.
9 x 2 – 6 x + 37 = 0 a = 9 , b = - 6 , c = 37
2. 4 Answers: (3 -42 x 3) 2. 5 Answers (3 -39 x 3) 6. -10+50 i 12. 28 -45 i 18. -1 24. 30. 6+58 i 36. x=10; y = 3 42. 6. 2 12. -27, 0 18. 1 24. 9 30. 4 36. ± 1, ± 2
2. 5 Other Types of Equations Radical Equations; Absolute Value Equations;
Thus 85 is NOT a solution. The solution set is {5}.
The solution set is {7, -6}.
A constant function is a function of the form f(x)=b y b x
Identity function is a function of a form: f(x)=x (1, 1) (0, 0)
The square function
Cube Function (1, 1) (-1, -1)
Square Root Function
Rational Function
6. 2 2. 5 Answers (3 -39 x 3) 12. -27, 0 18. 1 24. 9 30. 4 36. ± 1, ± 2
2. 6 Inequalities Solving Absolute Value Equations & Inequalities
There are two kinds of notation for graphs Remember---these mean theofsame inequalities: open circle or filled in circle notation thing---just twobrackets. different notations. and interval notation You should be familiar with both. [ -7 -6 -5 -4 -3 -2 -1 0 1 2 3 4 5 6 7 8 circle filled in -7 -6 -5 -4 -3 -2 -1 0 1 2 3 4 5 6 7 8 squared end bracket Both of these number lines show the inequality above. They are just using two different notations. Because the inequality is "greater than or equal to" the solution can equal the endpoint. That is why the circle is filled in. With interval notation brackets, a square bracket means it can equal the endpoint.
Remember---these Let's look at the two differentmean notationsthe with same a different inequality sign. different notations. thing---just two ) -7 -6 -5 -4 -3 -2 -1 0 1 2 3 4 5 6 7 8 circle not filled in -7 -6 -5 -4 -3 -2 -1 0 1 2 3 4 5 6 7 8 rounded end bracket Since this says "less than" we make the arrow go the other way. Since it doesn't say "or equal to" the solution cannot equal the endpoint. That is why the circle is not filled in. With interval notation brackets, a rounded bracket means it cannot equal the endpoint.
Compound Inequalities Let's consider a "double inequality" (having two inequality signs). ( -7 -6 -5 -4 -3 -2 -1 0 1 2 3 4 5 6 7 8 ] -7 -6 -5 -4 -3 -2 -1 0 1 2 3 4 5 6 7 8 I think of these as the "inbetweeners". x is inbetween the two numbers. This is an "and" inequality which means both parts must be true. It says that x is greater than – 2 and x is less than or equal to 3.
Compound Inequalities Now let's look at another form of a "double inequality" (having two inequality signs). ) -7 -6 -5 -4 -3 -2 -1 0 1 2 3 4 5 6 7 8 [ -7 -6 -5 -4 -3 -2 -1 0 1 2 3 4 5 6 7 8 Instead of "and", these are "or" problems. One part or the other part must be true (but not necessarily both). Either x is less than – 2 or x is greater than or equal to 3. In this case both parts cannot be true at the same time since a number can't be less than – 2 and also greater than 3.
Just like graphically there are two different notations, when you write your answers you can use inequality notation or interval notation. Again you should be familiar with both. [ -7 -6 -5 -4 -3 -2 -1 0 1 2 3 4 5 6 7 8 Inequality notation for graphs shown above. -7 -6 -5 -4 -3 -2 -1 0 1 2 3 4 5 6 7 8 Interval notation for graphs shown above.
Let's have a look at the interval notation. [ -7 -6 -5 -4 -3 -2 -1 0 1 2 3 4 5 6 7 8 This means x is unbounded above For interval notation you list the smallest x can be, a comma, and then the largest x can be so solutions are anything that falls between the smallest and largest. The bracket before the – 1 is square because this is greater than "or equal to" (solution can equal the endpoint). The bracket after the infinity sign is rounded because the interval goes on forever (unbounded) and since infinity is not a number, it doesn't equal the endpoint (there is no endpoint).
Let's try another one. Rounded bracket means equal -2 Squared bracket means can equal 4 cannot The brackets used in the interval notation above are the same ones used when you graph this. ( ] -7 -6 -5 -4 -3 -2 -1 0 1 2 3 4 5 6 7 8 This means everything between – 2 and 4 but not including -2
Let's look at another one This means the largest x can be is 4 but can't equal 4 This means x is unbounded below ) -7 -6 -5 -4 -3 -2 -1 0 1 2 3 4 5 6 7 8 Notice how the bracket notation for graphing corresponds to the brackets in interval notation. Remember that square is "or equal to" and round is up to but not equal. By the infinity sign it will always be round because it can't equal infinity (that is not a number).
Now let's look at an "or" compound inequality ) [ -7 -6 -5 -4 -3 -2 -1 0 1 2 3 4 5 6 7 8 When the solution consists of more than one interval, we join them with a union sign. There are two intervals to list when you list in interval notation.
Properties of Inequalities Essentially, all of the properties that you learned to solve linear equations apply to solving linear inequalities with the exception that if you multiply or divide by a negative you must reverse the inequality sign. So to solve an inequality just do the same steps as with an equality to get the variable alone but if in the process you multiply or divide by a negative let it ring an alarm in your brain that says "Oh yeah, I have to turn the sign the other way to keep it true".
Example: - 4 x + 6 +6 -2 We turned the sign! -2 Ring the alarm! We divided by a negative!
2. 6 Inequalities Involving Absolute Value
Absolute Value (of x) • • Symbol |x| The distance x is from 0 on the number line. Always positive Ex: |-3|=3 -4 -3 -2 -1 0 1 2
Ex: x = 5 • What are the possible values of x? x=5 or x = -5
To solve an absolute value equation: ax+b = c, where c>0 To solve, set up 2 new equations, then solve each equation. ax+b = c or ax+b = -c ** make sure the absolute value is by itself before you split to solve.
Ex: Solve 6 x-3 = 15 or 6 x = 18 or x = 3 or 6 x-3 = -15 6 x = -12 x = -2 * Plug in answers to check your solutions!
Ex: Solve 2 x + 7 -3 = 8 Get the abs. value part by itself first! 2 x+7 = 11 Now split into 2 parts. 2 x+7 = 11 or 2 x+7 = -11 2 x = 4 or 2 x = -18 x = 2 or x = -9 Check the solutions.
Solving Absolute Value Inequalities 1. ax+b < c, where c>0 Becomes an “and” problem Changes to: –c<ax+b<c 2. ax+b > c, where c>0 Becomes an “or” problem Changes to: ax+b>c or ax+b<-c
Ex: Solve & graph. • Becomes an “and” problem -3 7 8
Solve & graph. • Get absolute value by itself first. • Becomes an “or” problem -2 3 4
Answers to 2. 6 pp. 117 -118 (3 -33 x 3, 41) •
2. 7 More on Inequalities with Quadratic Functions
Quadratic inequalities ax 2+bx+c>0 …means “for what values of x is this quadratic above the x axis” e. g. x 2+ x - 20 >0 ax 2+bx+c<0 …means “for what values of x is this quadratic below the x axis” e. g. x 2+ x - 20 < 0
Quadratic inequalities (2) e. g. x 2+ x - 20 >0 Factorises to (x-4)(x+5) >0 Numbers that multiply together to give more than 0? A) both greater than zero B) both less than zero So, (x-4)>0 and (x+5)>0 x > 4 and x > -5 Only possible if x > 4 (then it must be >-5) Either: x>4 So, (x-4)<0 and (x+5)<0 x < 4 and x < -5 Only possible if x < -5 (then it must be <4) or x < -5
Quadratic inequalities (3) e. g. x 2 + x - 20 <0 Factorises to (x-4)(x+5) < 0 Numbers that multiply together to give less than 0? A) first >0, second <0 B) first <0, second >0 So, (x-4)>0 and (x+5)<0 x > 4 and x < -5 IMPOSSIBLE So, (x-4)<0 and (x+5)>0 x < 4 and x > -5 DO-ABLE x < 4 and x > -5 -5 < x < 4
Quadratic inequalities (4) - may be easier just looking at a graph e. g. (x-4)(x+5) >0 …means “for what values of x is this quadratic above the x axis” Crosses at x=4 and x=-5 When x>4 and x<-5 e. g. (x-4)(x+5) < 0 When x<4 and x>-5 …means “for what values of x is this quadratic below the x axis”
Try this one For what values of x is x 2 - 3 x - 18 > 0 [ Factorises to (x+3)(x-6) >0 ] Numbers that multiply together to give more than 0 A) both greater than zero B) both less than zero So, (x+3)>0 and (x-6)>0 x > -3 and x > 6 Only possible if x > 6 Either: x>6 So, (x+3)<0 and (x-6)<0 x < -3 and x < 6 Only possible if x < -3 or x < -3
Quadratic with linear Solve: x 2 – 8 x + 16 > 2 x +7 y = 2 x + 10 Estimate ? x<1 x>9 y = x 2 – 8 x +16
Quadratic with linear (2) Solve: x 2 – 8 x + 16 > 2 x +7 Algebraically: 1. Rearrange first 2. Solve like the others x 2 – 8 x + 16 > 2 x +7 (-2 x) x 2 – 10 x + 16 > 7 (-7) x 2 – 10 x + 9 > 0 Like the ones we did (x-9)(x-1) > 0 x>9 or x<1
Try this one Solve: x 2 + x + 4 > 4 x +14 First: try a sketch Algebraically: 1. Rearrange first 2. Solve like the others x 2 + x + 4 > 4 x +14 (-4 x) x 2 – 3 x + 4 > 14 (-14) x 2 – 3 x - 10 > 0 (x+2)(x-5) > 0 x<-2 or x>5
Answers to 2. 7 pp. 125 -126 (3 -30 x 3, 44) •
Answers to Ch. 2 Review Packet •
- Slides: 111