16 06 Multiplying Binomials FOIL method Remember that
16. 06 Multiplying Binomials ( FOIL method )
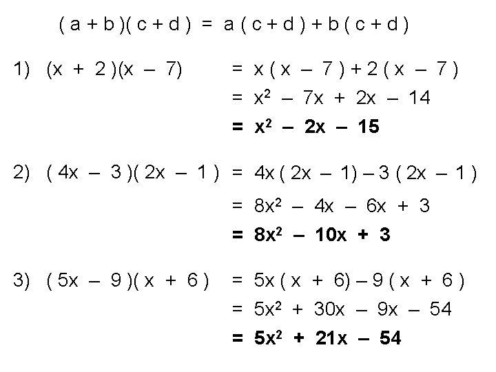
Remember that when multiplying 2 binomials. ( a + b )( c + d ) = a ( c + d ) + b ( c + d ) There is another method used to multiply binomials. It is called the FOIL method. The “F” stands for the product of the first terms. The “O” stands for the product of the outside terms. The “I” stands for the product of the inside terms. The “L” stands for the product of the last terms. To use the FOIL method, find the product of these terms and combine any like terms.
FOIL Method ( a + b )( c + d ) F = a · c O = a · d I = b · c L = b · d ( x + 5 )( x + 9 ) x 2 + 9 x + 5 x + 45 x 2 + 14 x + 45
Instead of drawing arrows, use the rule: ( a + b )( c + d ) = ac + ad + bc + bd ( x – 6 )( x + 5 ) = x 2 + 5 x – 6 x – 30 = x 2 – x – 30 ( 2 x – 3 )( x – 4 ) = 2 x 2 – 8 x – 3 x + 12 = 2 x 2 – 11 x + 12 ( 5 x + 1 )( 3 x + 2 ) = 15 x 2 + 10 x + 3 x + 2 = 15 x 2 + 13 x + 2
Try This: Rule: ( a + b )( c + d ) = ac + ad + bc + bd ( x + 8 )( x + 6 ) = x 2 + 6 x + 8 x + 48 = x 2 + 14 x + 48 ( x – 3 )( 4 x – 5 ) = 4 x 2 – 5 x – 12 x + 15 = 4 x 2 – 17 x + 15 ( 2 x + 3 )( 3 x + 4 ) = 6 x 2 + 8 x + 9 x + 12 = 6 x 2 + 17 x + 12 ( 3 x – 1 )( 3 x + 1 ) = 9 x 2 + 3 x – 1 = 9 x 2 – 1
- Slides: 6