14 11 2016 Chu Shih Chieh Zhu Shijie

































- Slides: 33
14. 11. 2016
Chu Shih Chieh (Zhu Shijie) - 1303 朱世杰 1 1 1 2 3 1
Pascali kolmnurk (1653) 1 1 1 1 1 8 3 5 7 6 15 1 4 10 20 35 56 1 3 10 21 28 2 4 6 1 5 15 35 70 1 1 6 21 56 1 7 28 1
Pascali kolmnurk kombinatsioonidena
Pascali kolmnurga omadus
Newtoni binoomvalem Teatavasti: (a+b)0 = 1 (a+b)1 = a + b = 1 a + 1 b (a+b)2 = a 2 + 2 ab + b 2 = 1 a 2 + 2 ab + 1 b 2 (a+b)3 = a 3 + 3 a 2 b + 3 ab 2 + b 3 = = 1 a 3 + 3 a 2 b + 3 ab 2 + 1 b 3 Kirjutades välja kordajad, saame Pascali kolmnurga!
Newtoni binoomvalem Kordajad saame Pascali kolmnurgast, muutujate astmed: a astendajad vähenevad b astendajad suurenevad a ja b astendajate summa on n
Harjutus Kirjutada välja (x + y)4 = (a + b)5 =
Harjutus Kirjutada välja (x + y)4 = x 4 + 4 x 3 y + 6 x 2 y 2 + 4 xy 3 + y 4 (a + b)5 = =a 5 + 5 a 4 b + 10 a 3 b 2 + 10 a 2 b 3 + 5 ab 4 + b 5 Kuidas toimida, kui sulgudes on negatiivne liige?
Fibonacci arvud Vaatleme arvujada 1; 1; 2; 3; 5; 8; 13; … Jada iga liige (alates 3. liikmest) on kahe eelneva liikme summa. Sellist jada nimetatakse Fibonacci jadaks (kirjeldatud aastal 1202)
Pascali kolmnurk ja Fibonacci arvud
Turku Energia OY korsten
Fibonacci spiraal
Fibonacci spiraal looduses
Näited Fibonacci arvude kohta
XX. 11. 2016 • • Pascali kolmnurk Newtoni binoomvalem Riigieksamilt 2015 De Méré ülesande lahendus
Tegevus nr 1 Kirjutada välja Pascali kolmnurk, milles on vähemalt 7 -8 rida. Aega on 60 sekundit.
Pascali kolmnurk 1 1 1 1 1 8 3 5 7 6 15 1 4 10 20 35 56 1 3 10 21 28 2 4 6 1 5 15 35 70 1 1 6 21 56 1 7 28 1
Newtoni binoomvalem Kordajad saame Pascali kolmnurgast, muutujate astmed: a astendajad vähenevad b astendajad suurenevad a ja b astendajate summa on n
Lahendusskeem 1 1 1 2 3 1 (x + 3)3 = 1 x 3 + 3 x 2 3 + 3 x 32 + 1 33 = = x 3 + 9 x 2 +27 x + 27
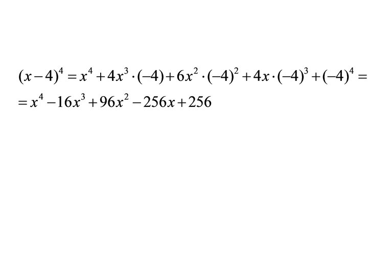
Ülesanne 1 Koostada Pascali kolmnurk ning avaldada selle abil (a + 2)5 = (2 x + 3)4 = (x – 4 y)4 =
Ülesanne 1 (lahendus) Koostada Pascali kolmnurk ning avaldada selle abil
Riigieksami ülesanne aastast 2015 Karbis on rohelised ja punased pliiatsid, kokku 27 pliiatsit. Valides ühe juhusliku pliiatsi, on punase pliiatsi saamise tõenäosus. 1. Mitu punast ja mitu rohelist pliiatsis on karbis? 2. Arvutada järgmiste sündmuste tõenäosus: 1) üks juhuslikult valitud pliiats on roheline; 2) kaks juhuslikult valitud pliiatsit on mõlemad punased
Võimalik lahendus 1. Olgu punaste pliiatsite arv x. Siis tõenäosus saada punane pliiats on • Kuna see tõenäosus on teada, siis saame: • Seega karbis on 12 punast ja 15 rohelist pliiatsit.
(lahenduse jätk) 2. Leiame vastavad tõenäosused: 1) (rohelise pliiatsi saamise tõenäosus): 2) (saadakse kaks punast pliiatsit):
De Méré ülesanne Võrdsete võimalustega mängu mängitakse 5 võiduni. Mängija A on võitnud 3 mängu, mängija B on võitnud 2 mängu. Kui mäng katkestatakse, millises suhtes tuleks panused jaotada?
Méré ülesande lahendus (Fermat) A võidab Seis on 5: 2 A võidab Seis on 5: 3 A võidab Seis on 4: 2 B võidab A võidab Seis on 5: 4 Seis on 4: 3 B võidab Seis on 4: 4 B võidab Seis on 4: 5 Algus; seis on 3: 2 A – vaja 2 võitu A võidab Seis on 5: 3 B – vaja 3 võitu A võidab Seis on 4: 3 A võidab Seis on 5: 4 B võidab Seis on 4: 5 B võidab Seis on 3: 3 A võidab Seis on 5: 4 A võidab Seis on 4: 4 B võidab Seis on 3: 4 B võidab Seis on 4: 5 B võidab Seis on 3: 5 A võit: B võit:
Võitude suhe (selles suhtes tuleb jagada panused):
De Méré probleemi lahendus Pascali kolmnurga abil Panuste suhe: (1 + 4 + 6) : (4 + 1) = 11 : 5
Ülesanne Mängitakse 6 võiduni. Mängijal A on vaja saada 2 võitu, mängijal B 4 võitu. Kui suur on mängijate võitude tõenäosuste suhe p(A) : p(B)? /kasutada Pascali kolmnurka võitude puud/