10 The Adiabatic Approximation 1 The Adiabatic Theorem
10. The Adiabatic Approximation 1. The Adiabatic Theorem 2. Berry’s Phase
10. 1. The Adiabatic Theorem 1. Adiabatic Processes 2. Proof of the Adiabatic Theorem
10. 1. 1. Adiabatic Processes Adiabatic processes : Text >> Tint. Strategy : 1. Solve problem with external parameters held constant. 2. Solutions thus obtained contain external parameters that are now allowed to vary slowly. E. g. Pendulum with gradually changing length L. Period of pendulum with fixed length is Period of pendulum with slowly changing length is
Example: H 2+ ion E. g. H 2+ ion. Born-Oppenheimer approximation : 1. Electron stationary states solved for fixed nuclei separation R. 2. Ground state energy E of system obtained as a function of R. 3. Equilibrium separation solved from
Adiabatic Theorem If a system is initially in a discrete and nondegenerate eigenstate n of H(0) , it’ll be carried to the corresponding eigenstate n of H(t).
1 -D Infinite Square Well E. g. 1 -D infinite square well with slowly changing width a. Ground state for well with fixed a : Adiabatic approximation : Ground state for well with slowly changing a : Diabatic approximation : Ground state for well with suddenly changed a :
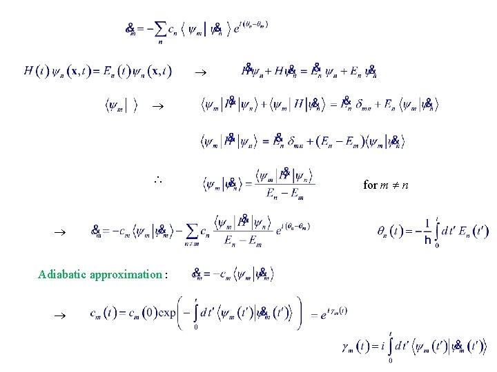
10. 1. 2. Proof of the Adiabatic Theorem H is time-independent : H is time-dependent : Let ( t here is treated as a constant ) At each t, the solutions { n (x, t) } are complete and can be set Let
The above are simply the time-independent H results with E E(t). Now, n n is NOT a solution to the time-dependent Schrodinger eq. However { n (x, t) } is complete, so we can write
Adiabatic approximation : for m n
m is real If particles starts out in n ,
Example 10. 1 An electron ( charge e, mass m ) at rest at the origin is subject to a magnetic field The Hamiltonian is with normalized eigenspinors & eigenenergies : See Prob 4. 30
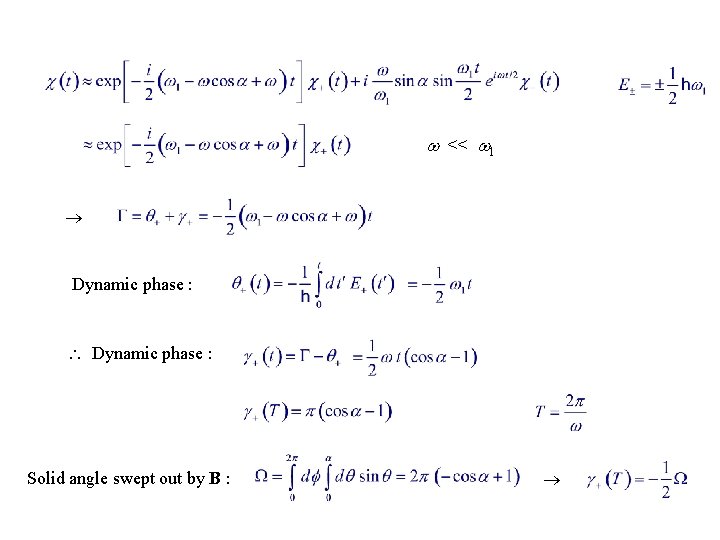
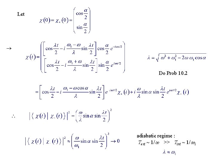
Let Do Prob 10. 2 adiabatic regime : Text ~ 1/ >> Tint ~ 1/ 1
For nonadiabatic regime : >> 1 , .
10. 2. Berry’s Phase 1. Nonholonomic Processes 2. Geometric Phase 3. The Aharonov-Bohm Effect
10. 2. 1. Nonholonomic Processes Nonholonomic processes : State of system is path-dependent. E. g. , Parallel transport of pendulum on Earth’s surface.
Foucault Pendulum Solid angle subtended by latitude line 0 : Since Earth turns a daily angle 2 , the daily precession of the Foucault pendulum is 2 cos 0.
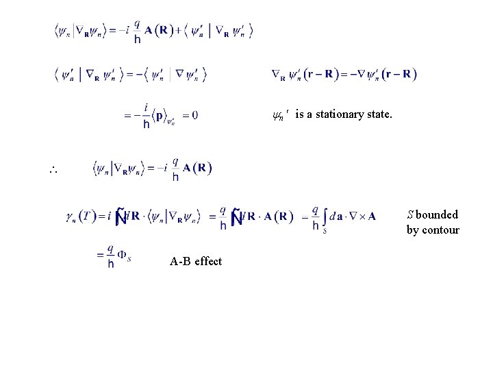
10. 2. 2. Geometric Phase Adiabatic approx. = dynamic phase = geometric phase Let i. e. , R(t) is the prarameter that makes H time-dependent.
For system with N time-dependent parameters line integral in R space Note : Berry’s phase n doesn’t depend on magnitude of T as long as the adiabatic approx is valid. But n depends critically on magnitude of T. n is measurable: M. V. Berry, Proc. R. Soc. Lond. A 392, 45 (1984).
Example: Splitted Particle Beam A beam of particles, all in state , is splitted in two. One beam passes through an adiabatically changing potential, while the other does not. When the beams are recombined, 0 ~ direct beam can be measured from interference pattern. Furthermore, & can be separated for measurement.
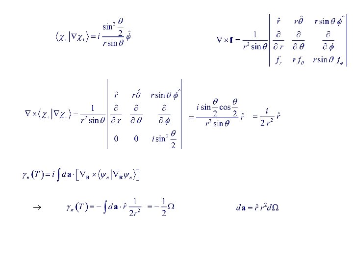
3 -D R Space Magnetic flux through surface S : C bounds S ( Stokes’ theorem )
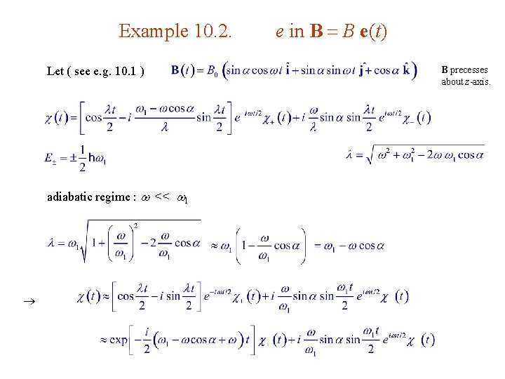
Example 10. 2. Let ( see e. g. 10. 1 ) adiabatic regime : << 1 e in B B e(t) B precesses about z-axis.
<< 1 Dynamic phase : Solid angle swept out by B :
B Sweeps Out Arbitrary Curve on Sphere
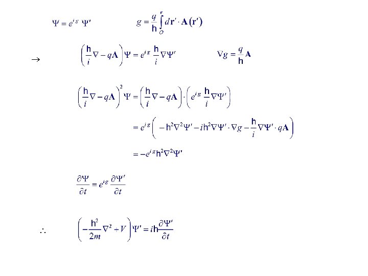
10. 2. 3. The Aharonov-Bohm Effect E, B unchanged under any gauge transformation : Particle in EM field : H is gauge invariant ( see Prob 4. 61 ) Classical electrodynamics : No EM effects where E = B = 0. Aharonov-Bohm : EM effects where E = B = 0 if Can be related to Berry’s phase.
Particle Circling a Long Solenoid Long solenoid with axis along z, of radius a, and carrying a steady current I. Coulomb’s gauge : magnetic flux
=0 Now in Coulomb gauge For r > a, If the particle is confined to a circular orbit of radius b, then
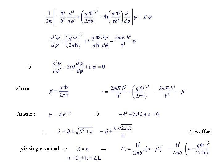
where Ansatz : is single-valued A-B effect
General Case Consider particle moving in region where Let but where C bounds S with g is path independent. O is some reference point.
A-B effect for splitted e beam : Phase shift of combined beam : Measured : R. G. Chambers, PRL 5, 3 (1960)
A-B Effect as a Berry’s Phase Consider a particle outside the solenoid & confined by V near R. with Let
n is a stationary state. S bounded by contour A-B effect
- Slides: 33