10 1 Parametric functions Photo by Vickie Kelly
10. 1 Parametric functions Photo by Vickie Kelly, 2008 Mark Twain’s Boyhood Home Hannibal, Missouri Greg Kelly, Hanford High School, Richland, Washington
Photo by Vickie Kelly, 2008 Mark Twain’s Home Hartford, Connecticut Greg Kelly, Hanford High School, Richland, Washington
In chapter 1, we talked about parametric equations. Parametric equations can be used to describe motion that is not a function. If f and g have derivatives at t, then the parametrized curve also has a derivative at t.
The formula for finding the slope of a parametrized curve is: This makes sense if we think about canceling dt.
The formula for finding the slope of a parametrized curve is: We assume that the denominator is not zero.
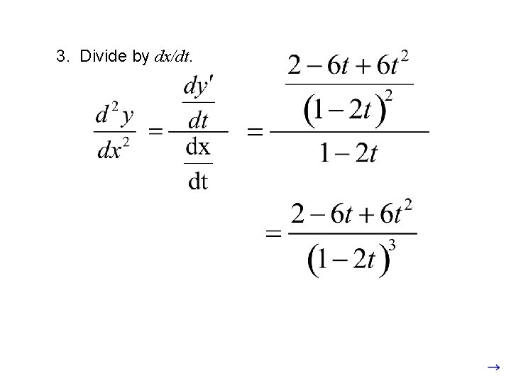
To find the second derivative of a parametrized curve, we find the derivative of the first derivative: 1. Find the first derivative (dy/dx). 2. Find the derivative of dy/dx with respect to t. 3. Divide by dx/dt.
Example:
Example: 1. Find the first derivative (dy/dx).
2. Find the derivative of dy/dx with respect to t. Quotient Rule
3. Divide by dx/dt.
The equation for the length of a parametrized curve is similar to our previous “length of curve” equation: (Notice the use of the Pythagorean Theorem. )
Likewise, the equations for the surface area of a parametrized curve are similar to our previous “surface area” equations:
This curve is: p
- Slides: 13