1 Introduccin 2 Casos simples de reduccin del

  • Slides: 96
Download presentation

1. Introducción 2. Casos simples de reducción del orden 3. Ecuaciones lineales homogéneas con

1. Introducción 2. Casos simples de reducción del orden 3. Ecuaciones lineales homogéneas con coeficientes constantes 4. Ecuaciones lineales no homogéneas con coeficientes constantes 5. Ecuaciones lineales no homogéneas con coeficientes variables 6. El método de las series de potencias

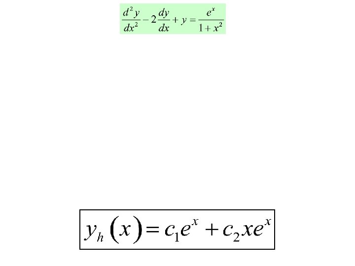
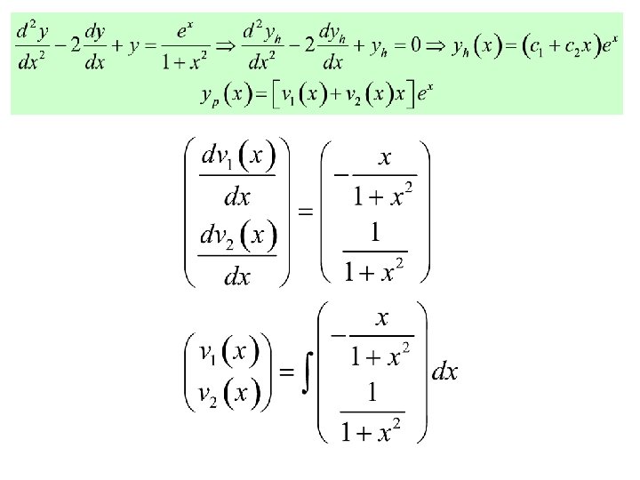
Ecuación diferencial lineal no homogénea Resolver la ecuación homogénea asociada Encontrar una solución particular

Ecuación diferencial lineal no homogénea Resolver la ecuación homogénea asociada Encontrar una solución particular

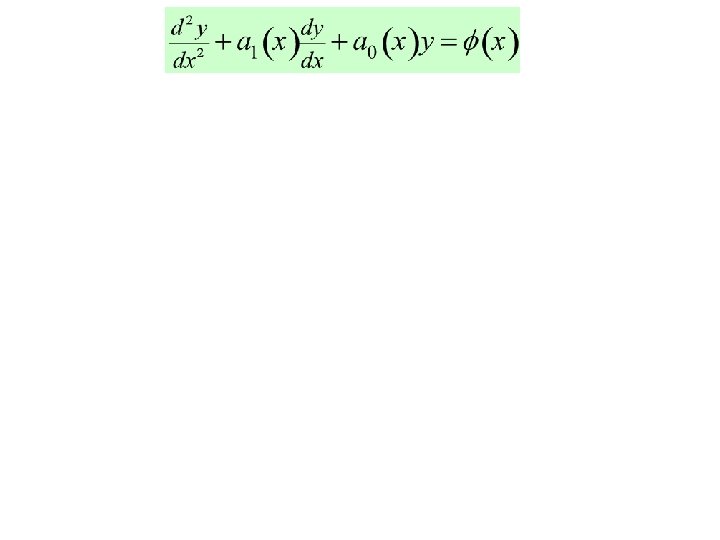
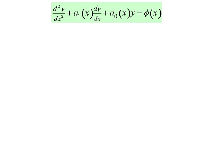
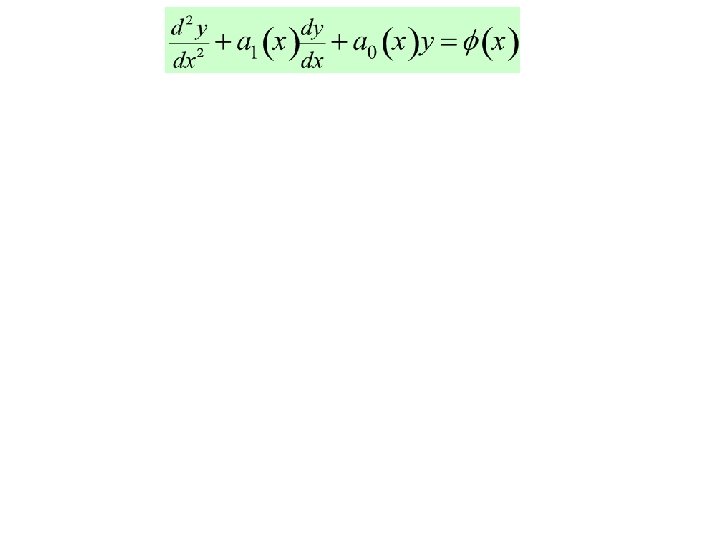
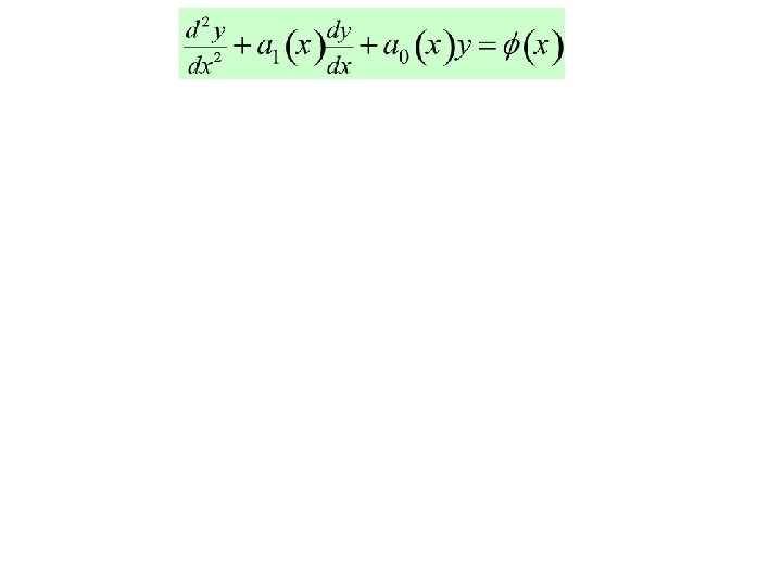
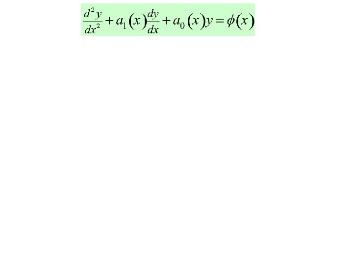
Ecuación diferencial lineal homogénea Coeficientes constantes Ecuación característica Coeficientes variables Reducción del orden por

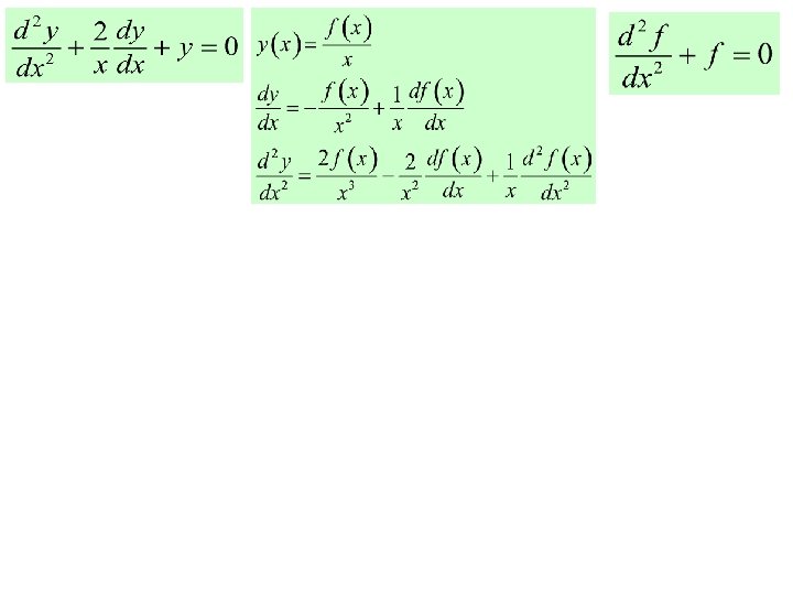
Ecuación diferencial lineal homogénea Coeficientes constantes Ecuación característica Coeficientes variables Reducción del orden por la forma Ecuación del tipo Euler Inspiración Reducción del orden por conocer una solución Solución mediante series de potencias

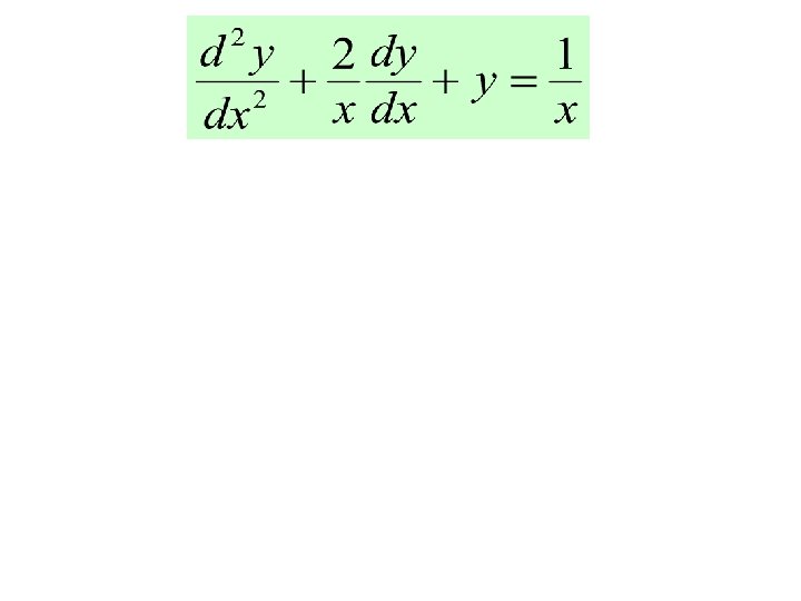
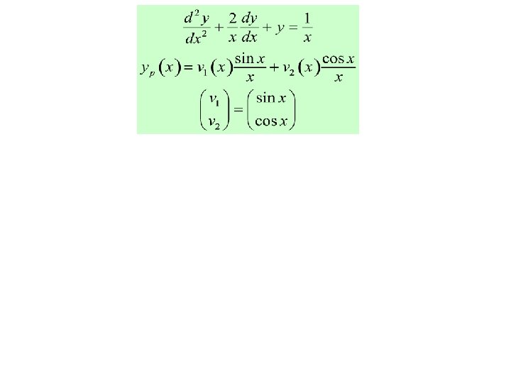
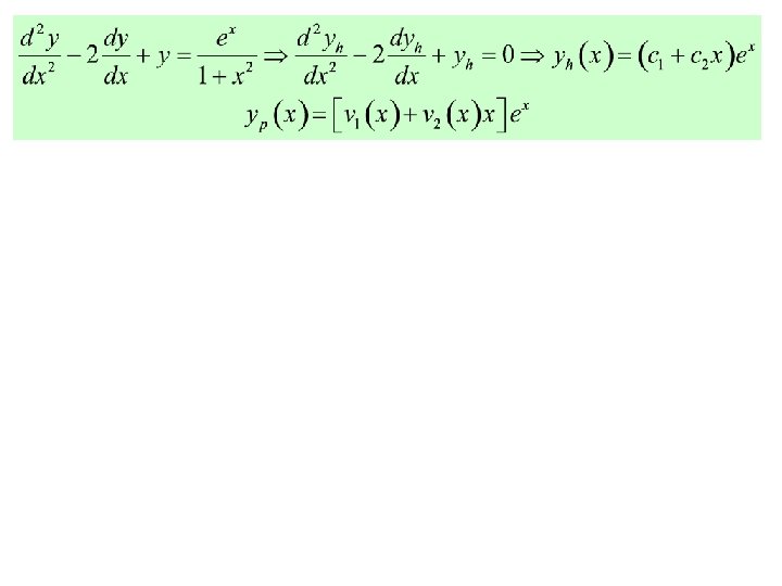
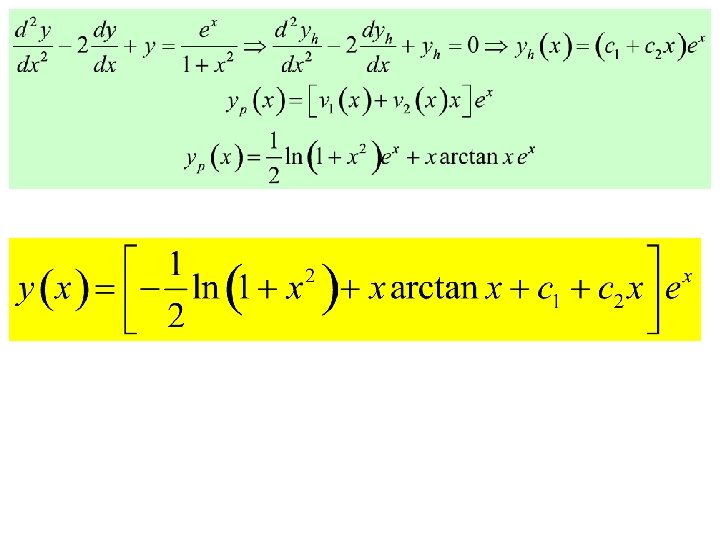
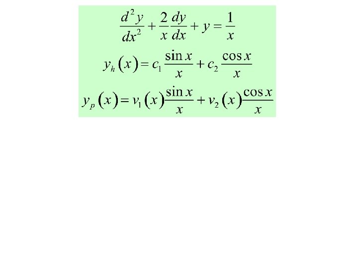
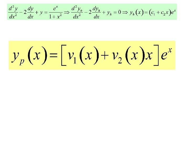
Encontrar una solución particular de la ecuación no homogénea Coeficientes constantes Coeficientes indeterminados Variación

Encontrar una solución particular de la ecuación no homogénea Coeficientes constantes Coeficientes indeterminados Variación de parámetros Coeficientes variables Variación de parámetros

Ecuación diferencial lineal no homogénea Resolver la ecuación homogénea asociada Encontrar una solución particular

Ecuación diferencial lineal no homogénea Resolver la ecuación homogénea asociada Encontrar una solución particular

Ecuación diferencial lineal homogénea Coeficientes constantes Ecuación característica Coeficientes variables Reducción del orden por

Ecuación diferencial lineal homogénea Coeficientes constantes Ecuación característica Coeficientes variables Reducción del orden por la forma Ecuación del tipo Euler Inspiración Reducción del orden por conocer una solución Solución mediante series de potencias

Encontrar una solución particular de la ecuación no homogénea Coeficientes constantes Coeficientes indeterminados Variación

Encontrar una solución particular de la ecuación no homogénea Coeficientes constantes Coeficientes indeterminados Variación de parámetros Coeficientes variables Variación de parámetros

Ecuación diferencial lineal no homogénea Resolver la ecuación homogénea asociada Encontrar una solución particular

Ecuación diferencial lineal no homogénea Resolver la ecuación homogénea asociada Encontrar una solución particular

Ecuación diferencial lineal homogénea Coeficientes constantes Ecuación característica Coeficientes variables Reducción del orden por

Ecuación diferencial lineal homogénea Coeficientes constantes Ecuación característica Coeficientes variables Reducción del orden por la forma Ecuación del tipo Euler Inspiración Reducción del orden por conocer una solución Solución mediante series de potencias

Encontrar una solución particular de la ecuación no homogénea Coeficientes constantes Coeficientes indeterminados Variación

Encontrar una solución particular de la ecuación no homogénea Coeficientes constantes Coeficientes indeterminados Variación de parámetros Coeficientes variables Variación de parámetros